魔镜街拍-魔镜街拍官方最新第一视角

当前位置: 主页 招生信息
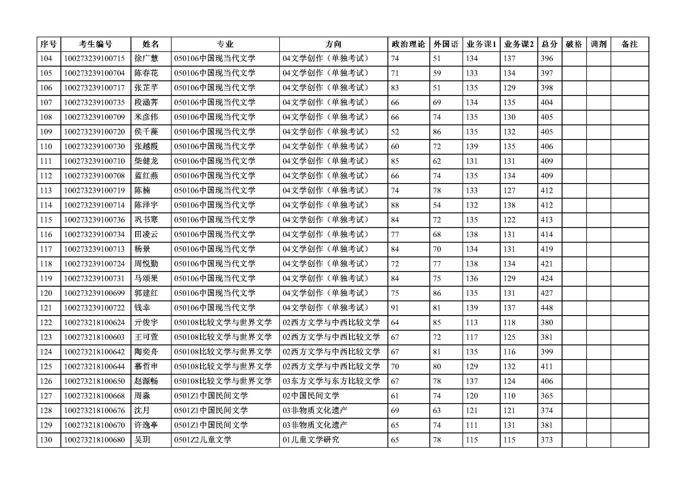
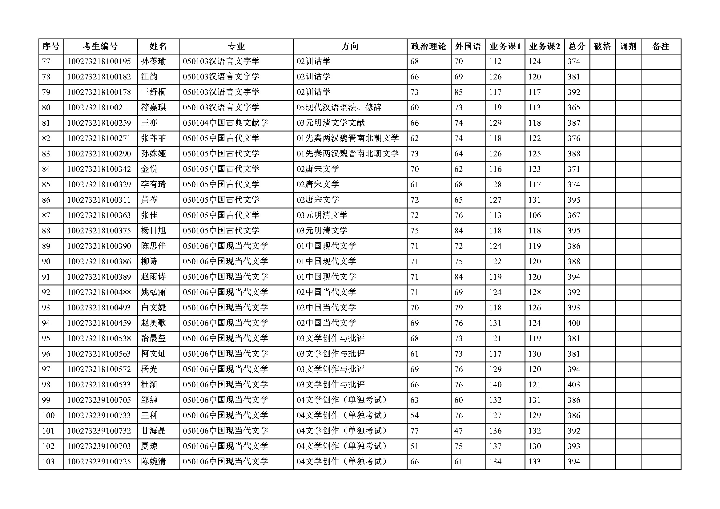
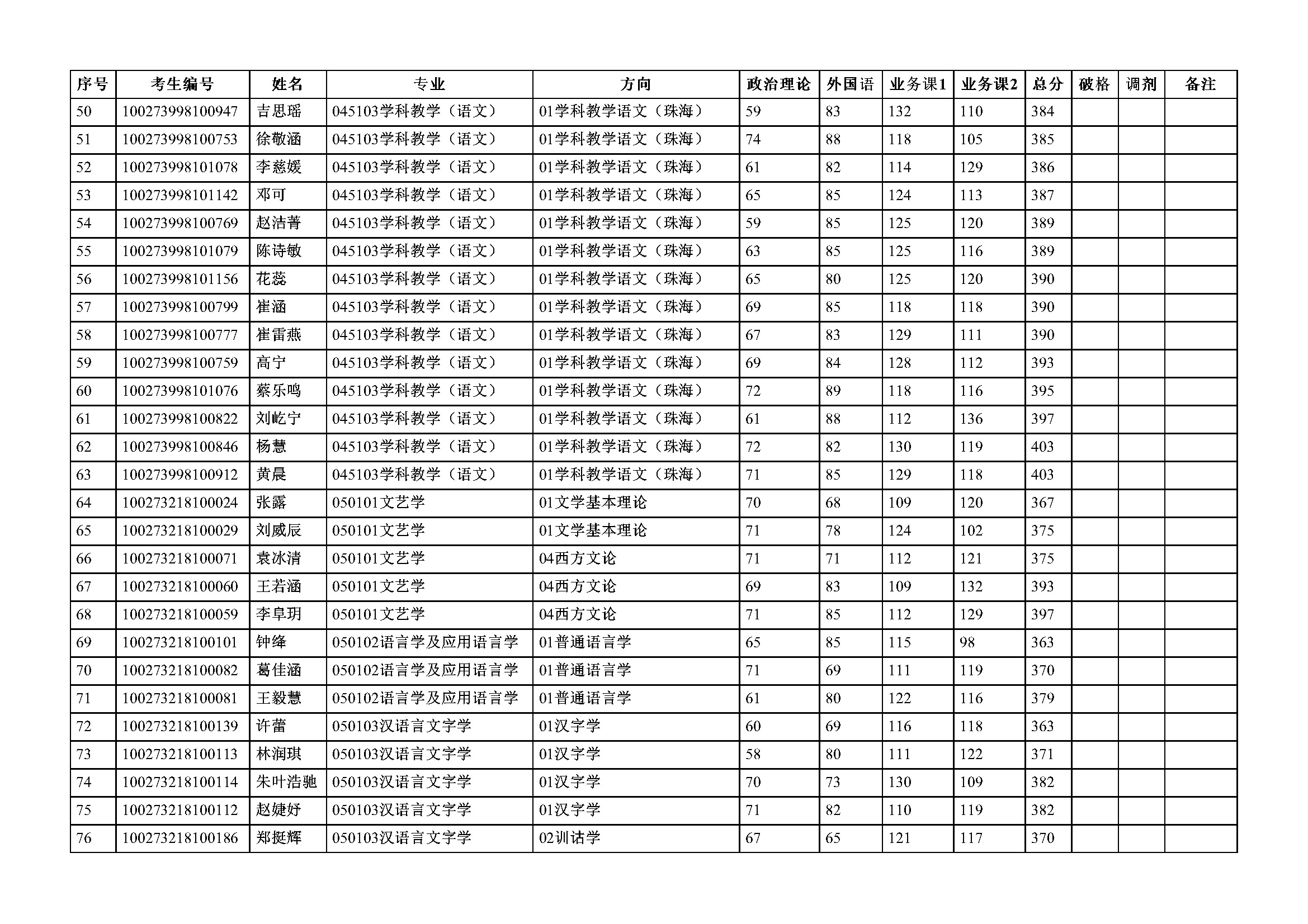
2023年魔镜街拍 硕士研究生招生复试名单公示(不含调剂)

发布日期:2023-03-20 点击数: